第2章 2024年後半の世界経済の動向(付注2-2)
付注2-2 失業率の前月差の要因分解
1.データ出所
アメリカ労働省
2.要因分解の方法
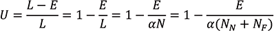
労働力人口をL、労働参加率をα、就業者数をE、16歳以上人口をN、そのうちアメリカ生まれ人口をNN、外国生まれ人口をNFとすると(L=αN, N=NN+NF)、失業率Uは以下のとおり書くことができる。

ここで、Uを独立なパラメータNN,NF,α,Eに関する関数

とみなし、全微分すると、

と書くことができることから、以下の近似式が成り立つ。

このため、上記近似式から、右辺第一項をアメリカ生まれ人口要因、第二項を外国生まれ人口要因、第三項を労働参加率要因、第四項を就業者数要因として、失業率の前月差を要因分解ができる。第2-1-77図は、上記近似式を用いて失業率の2023年1月以降の累積変化を要因分解したものである。